Last Updated on March 21, 2026 by Galaxy World
I am receiving many queries regarding how to calculate DRA-2025 for New Entrants. The Finance Division, Government of Pakistan, has issued the Notification of Disparity Reduction Allowance 2025 @ 30% on 4th July 2025. I shall explain here the full details of such queries, including Disparity Reduction Allowance 2021 and 2022. The details are as follows:
How to Calculate DRA-2025 for New Entrants?
Many employees have got Government jobs after 30-06-2022. Some employees were appointed through the proper channel from other departments or provincial departments, where they were not getting the DRA. I shall explain the admissibility of such Disparity Reduction Allowance for such employees.
The calculation of DRA is for the following categories of employees:
- Employees appointed on or before 30-06-2022
- The Employees appointed after 30-06-2022
- The Employees got promotion/upgradation after 30-06-2022
- Federal Employees joined the new department through proper channels from the Federal or Provincial government
Employees appointed on or before 30-06-2022
The employees who were appointed on or before 30th June 2022 and are already getting DRA-2021 and DRA-2022, will get the DRA-2025 @30% on the Basic Pay that the employee was drawing on 30-06-2022. Simply, the employee will get the double DRA-2022. Suppose the employee was getting Rs. 6000/- DRA on 30-06-2022 then the amount of DRA-2025 will be Rs. 12,000/-.
The Employees appointed after 30-06-2022
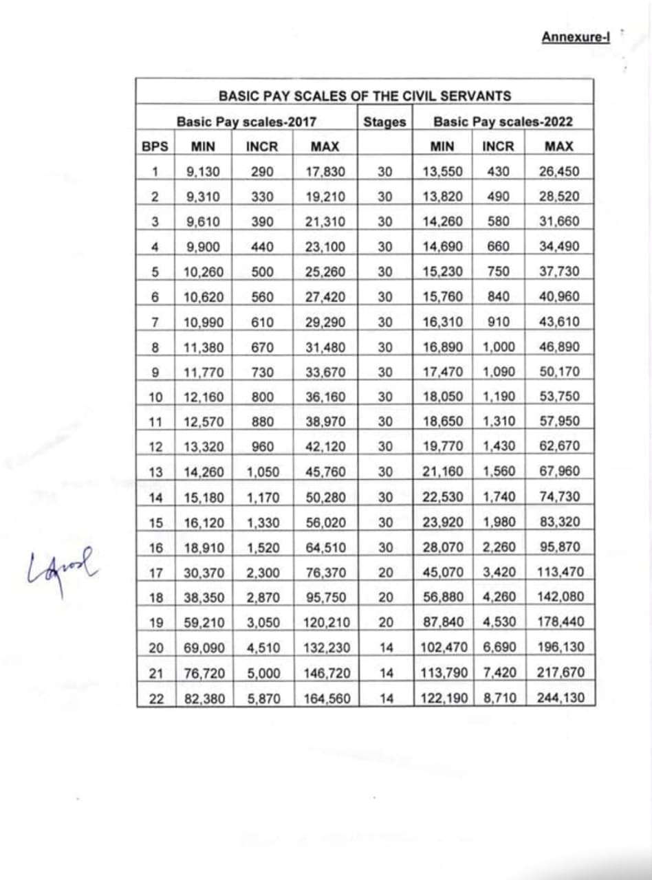
That employee who is appointed after 30-06-2022 will get the DRA-2025 @ 30% on the initial of the Revised Pay Scales 2017. The chart of pay scales 2017 is as follows:


The Employees got promotion/upgradation after 30-06-2022
If the employee gets a promotion after 30-06-2022, he will get the DRA-2025 double the previous 2022 DRA. In special circumstances, if the existing DRA-2025 is less than 30% of the Initial 2017 pay scales of the new / promoted pay scales, then the employee has the right to get the DRA as per the new pay scales. (The Finance Division will issue the clarification of such cases).
Federal Employees joined new departments through the proper channels from the Federal or Provincial government
There are some other employees who joined the Federal Government through the proper channel; these employees were not getting any DRA in the provincial setup. But the employees of his new department are getting DRA. Then these employees will get DRA on the initial of the new / joined pay scale and on the basis of Revised Pay Scales 2017. They will also get Disparity Reduction Allowance 2021 and 2022.
An employee appointed in federal government in bps 18 on regular basis through proper channel in 2024 from provincial government autonomous organisation 17 scale , where he was not getting any DRA. On which scale ihe will get DRAs
1. Initial pay scale 2017 of current bps 18 (38350) ??
or
2. Basic pay at the time of DRA 2021(01-03-2021) and DRA 2022 (01-03-2022 in previous scale ??
Ys on the basis of Initial of 2017 Pay Scales.
Can you please guide procedure of pension contributions transfer from Punjab government to federal government in this case ??
I wanted to ask that i had bps 11 in fbr and then appointed in bps 17 in federal government through proper channel. On which scale i will get disparity and other adhoc allowances. Also what will be the medical allowance as i have medical of bps 17.
Write in detail your question again with dates of new joining.