Last Updated on April 7, 2026 by Galaxy World
I am sharing the Latest BPSC Health Department Vacancies July 2024 . These jobs through the Balochistan Public Service Commission have been announced vide its ad No. 09/2024 in the Health Department of Balochistan. The details are as follows:
The Latest BPSC Health Department Vacancies July 2024
The list of the jobs vides ad No. 09/2024 is as under:
| Sr. No | Hospital Name | Name of Vacancy | BPS | No of Vacancies |
| 1 | Dental College Quetta | Assistant Professor | BPS-18 | 08 Vacancies |
| 2 | Dental College Quetta | Assistant Professor | BPS-18 | 05 Vacancies |
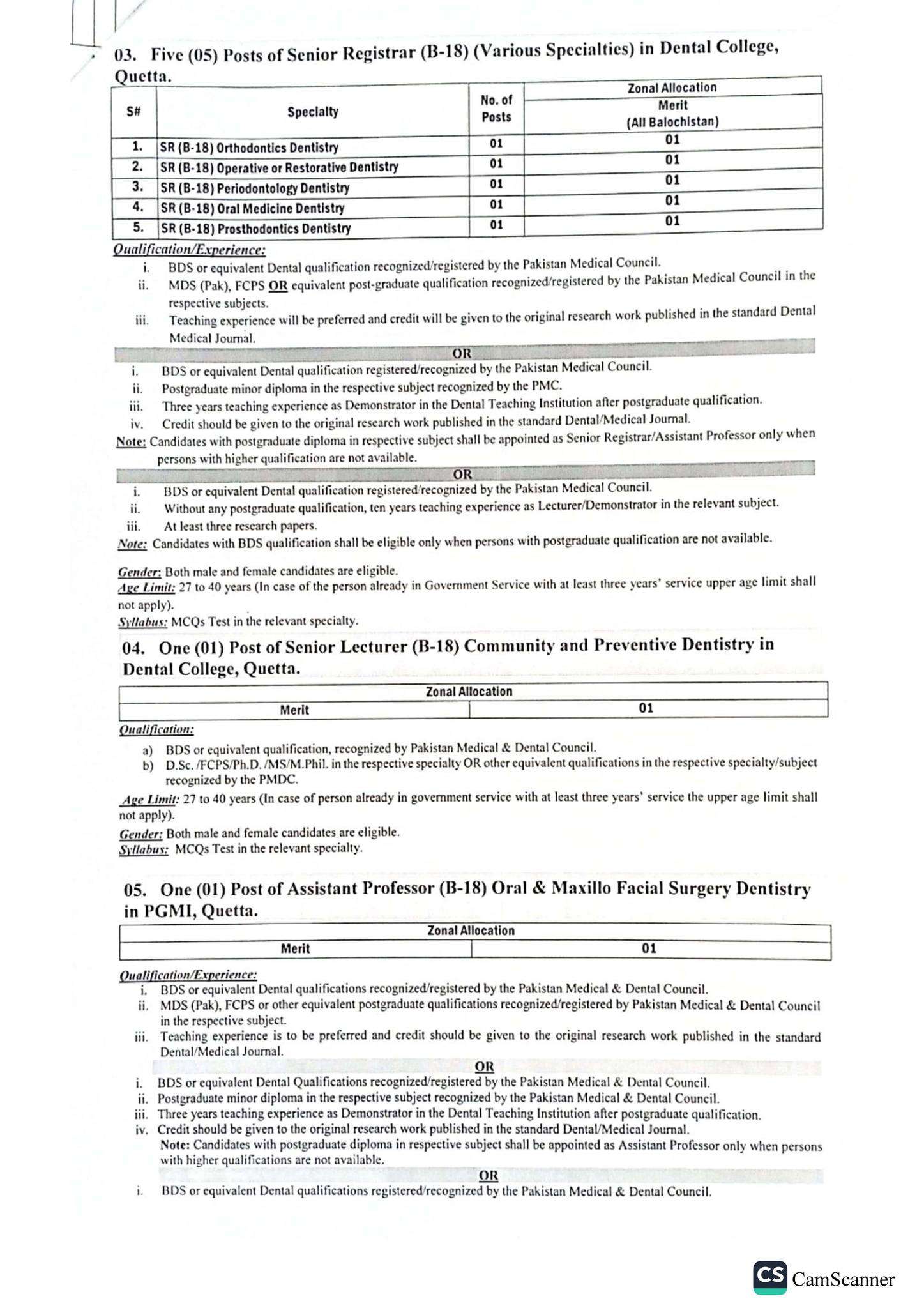
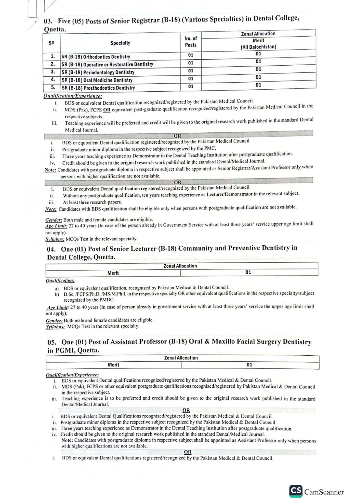
| 3 | Senior Registrar | BPS-18 | 05 Vacancies | |
| 4 | Community and Preventive Dentistry in Dental College Quetta | Senior Lecturer | BPS-18 | 01 Vacancy |
| 5 | Oral & Maxilo Facial Surgery Dentistry in PGMI Quetta | Assistant Professor | BPS-18 | 01 Vacancy |
| 6 | Oral & Maxilo Facial Surgery Dentistry in PGMI Quetta | Senior Registrar | BPS-18 | 01 Vacancy |
| 7 | Bolan Medical College Quetta | Senior Registrar | BPS-18 | 02 Vacancies |
| 8 | Loralai Medical College & Jhalwan Medical College | Senior Registrar | BPS-18 | 15 Vacancies |
Closing Date to Apply
20th August 2024
The Government employees should apply through the proper channel. They should read all instructions before they apply. There are also many other conditions. The Government of Balochistan will give age relaxation as per the Government Rules. The candidates will have the upper age limit regulation as per age relaxation rules.
You may also like: PPSC Vacancies Ad No. 14/2024




