Last Updated on February 1, 2026 by Galaxy World
At the request of the visitors of this website, I am sharing the District Wise CTIs Vacant Posts Details 2021 All Over Punjab. It is to mention here that the Government of the Punjab Higher Education Department has announced the CTIs Jobs 2021. The colleges will display the advertisements on 13th January 2021. The candidates will submit the documents for College Teaching Interns jobs with effect from 14-01-2021 to 15-01-2021.
District Wise CTIs Vacant Posts Details 2021 All Punjab
I am sharing the lists of the vacant posts that I received. As soon as I get more lists of vacant posts, I shall further upload. I also request the visitors to share with me the lists of the vacancies that they get so that the other visitors may get the benefit from it. I shall try to share the list of vacancies for the following districts of Punjab:
- Lahore
- Faisalabad
- Sheikhupura
- Kasur
- Nankana Sahib
- Gujranwala
- Faisalabad
- Hafizabad
- Attock
- Bahawalnagar
- Bahawalpur
- Bhakkar
- Chakwal
- Chiniot
- DG Khan
- Gujrat
- Jhang
- Jhelum
- Khanewal
- Khushab
- Layyah
- Lodhran
- Mandi Bahauddin
- Mianwali
- Multan
- Muzaffargarh
- Narowal
- Okara
- Pakpattan
- Rahim Yar Khan
- Rajanpur
- Vehari
- Sialkot
- Rawalpindi
- Sahiwal
- Sargodha
- Sheikhupura
- Toba Tek Singh
NOTE:
There may be errors in the lists and these may be provisional or the college may do amendments to them. It is better, you personally visit the concerned college for the latest list.
CTIs Vacancies List Nankana Sahib, Sheikhupura, Kasur, Lahore
The subject wise details of the vacant posts in the colleges of Lahore, Nankana Sahib, Shekhupura, and Kasur I have received. This vacancy statement is for both male and female colleges of these districts. The willing candidates can apply as per schedule keeping in view the qualification marks criteria of these teachers’ jobs. The list is as under:
Government Postgraduate College for Women Kasur
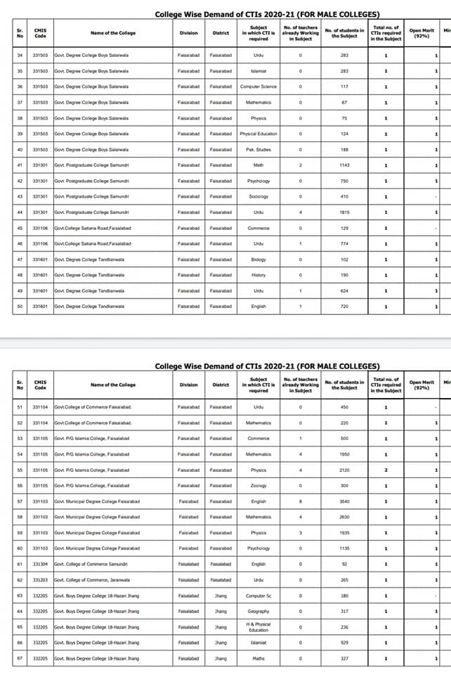
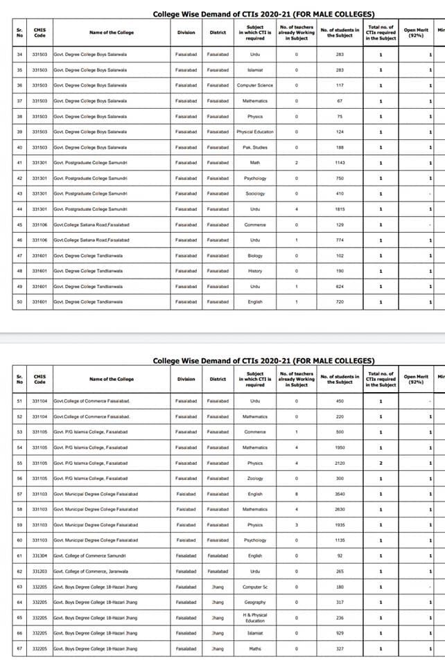
CTIs Vacancies in Faisalabad, Jhang, Chaniot and Toba Tek Singh
Faisalabad Division consists of the following districts:
- Faisalabad
- Jhang
- Chaniot
- Toba Tek Sindh (T.T.Singh)
The teachers’ vacancies list in these districts that I have received is given below for the information of the concerned.
Sahiwal CTIs Jobs Vacancies List
You can also download the Vacancies statement for Sahiwal for male and female colleges.
Government Post Graduate College for Women Hujra Shah Muqeem Okara CTIs Vacancies announcement
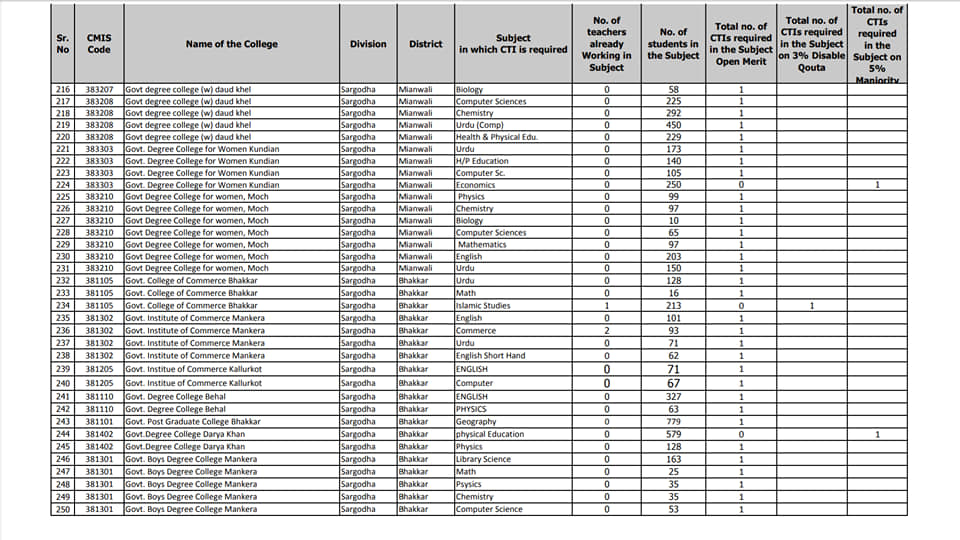
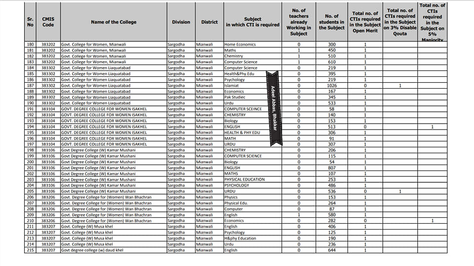
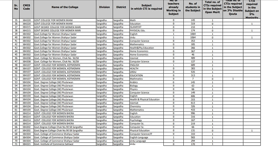
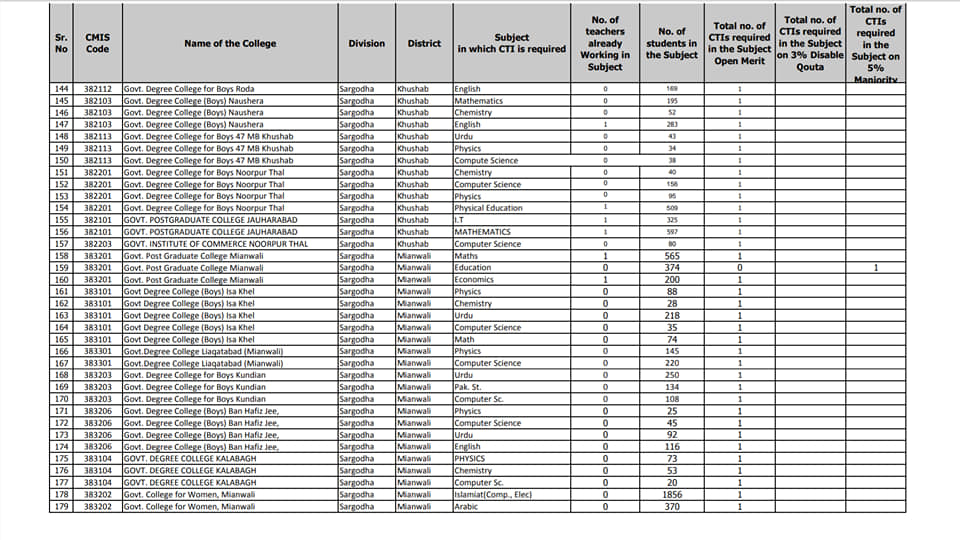
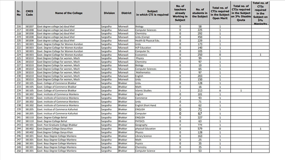
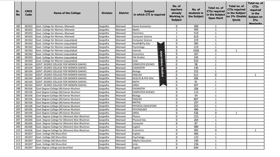
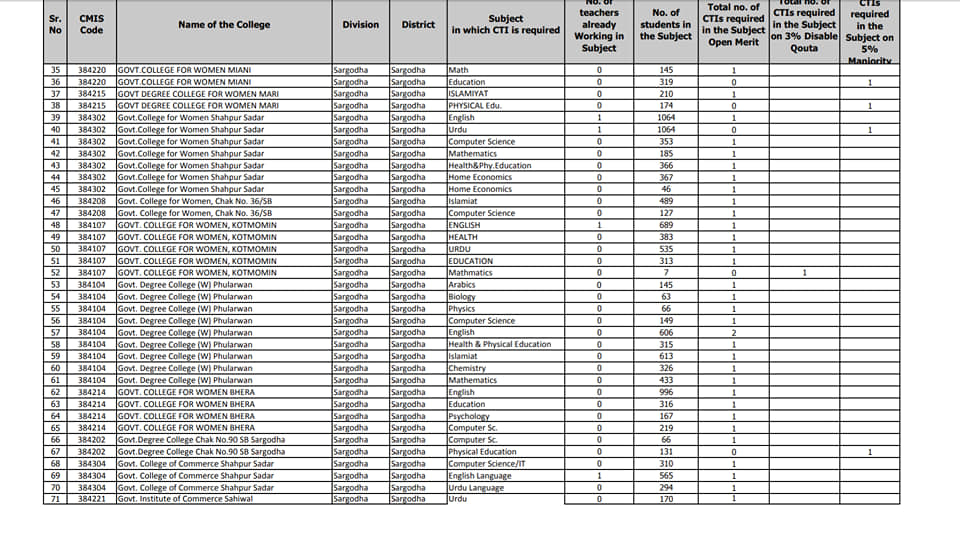
Sargodha Division CTIs Subject Wise Vacancies List
The visitors can download the vacancy list for Sargodha Division districts as Sargodha, Khushab, Mianwali, and Bhakkar.
CTIs Vacancies Govt Commerce College Bhakkar
College Teaching Interns Vacancies in Rawalpindi, Chakwal, Attock and Jhelum 2021
I am also sharing here the list of the CTIs vacant posts in the Rawalpindi Division. Rawalpindi Division consists of the following four districts:
- Rawalpindi
- Attock
- Jhelum
- Chakwal
CTIs Demand Gujranwala, Norowal, Mandi Bahauddin, Hafizabad, Gujrat
Gujranwala Division consists of the following districts:
- Gujranwala
- Norowal
- Hafizabad
- Mandi Baha ud Din
- Gujrat
I have received male and female vacancies in colleges for Teaching Interns 2021. You can visit the college concerned and verify the latest position of these demands/vacancies.
Govt Postgraduate College for Women Hafizabad
College Teaching Interns Vacancies List Multan Division
Govt Emerson College Bosan Road Multan
Govt College of Science Multan CTIs Vacancies
Vacancies of CTIs Detail Subject Wise in Khanewal, Multan, Lodhran, and Vehari
The College Teaching Interns Vacancies position for Khanewal, Multan, Lodhran, and Vehari Is as under:


























District pakpattan list
I have not yet received the same for Pakpattan.
Rajan pur
Very soon IA I shall upload for Rajanpur.
Subject wise vacancies in district khanewal college
I shall upload the vacancies of CTIs in colleges of Khanewal.
What about women degree college Basir pur district okara
As soon as i get the same list, I shall also upload.
Rawalpindi district?
I shall upload In Sha Allah very soon.
No CTI post for Okara District and/or Government Postgraduate College, Okara (Boys)?
I have uploaded the list now for Hujra Shah Muqeem Postgraduate College.