Last Updated on October 31, 2021 by
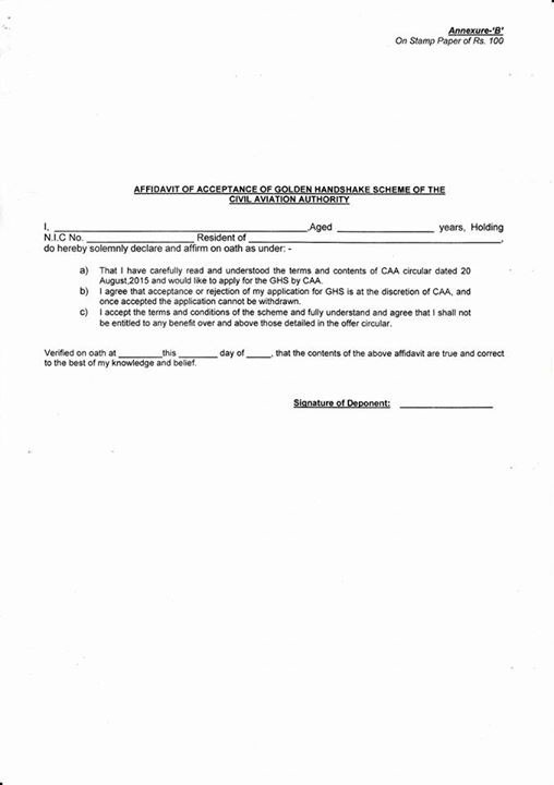
Headquarters Civil Aviation Authority (Human Resource Directorate) has issued Notification No. HQCAA/2561/010/HROD/I dated 20-08-2015 in connection with Golden Handshake Scheme Civil Aviation Authority. The objective of the same scheme is as under:
The Golden Handshake Scheme is aimed at providing a structured framework under which the regular employees of Civil Aviation Authority would be offered attractive options to avail Golden Handshake Scheme and consequential termination of their services in the Authority.
Golden Handshake Scheme shall be made available to the category or class or trades of employees as specified and noted by the Civil Aviation Authority subsequently. Further details are available at the copy of the Notification. Special Thanks to Mr. Faisal Zaka for sending the copy of the Notification of Golden Handshake Scheme Civil Aviation Authority.





Great efforts are being made by you. Please provide me third page of the CAA Golden Handshake Scheme.
please update about 20% news and hearing date , September started. thanks