Last Updated on February 1, 2026 by Galaxy World
The Higher Education Department has shared the List of Colleges with their Contacts for College Teaching Interns Jobs 2021. The candidates can contact the colleges concerned to get updates on the vacant posts of CTIs.
As far now, the department has not yet final the lists of the vacant posts and soon the colleges will give the advertisement for college teaching Interns 2021. All colleges will display the lists of vacant posts on 13-01-2021. The willing candidates will get the full details of the vacant posts subject wise on the notice board of the concerned college on the same date. And candidates will submit the applications on 14th January 2021 and 15th January 2021. The HED Punjab has already announced the qualification marks criteria for CTIs 2021 jobs. The candidates can check the eligibility criteria as per the formula.
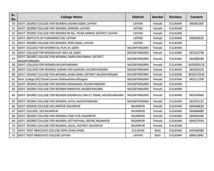
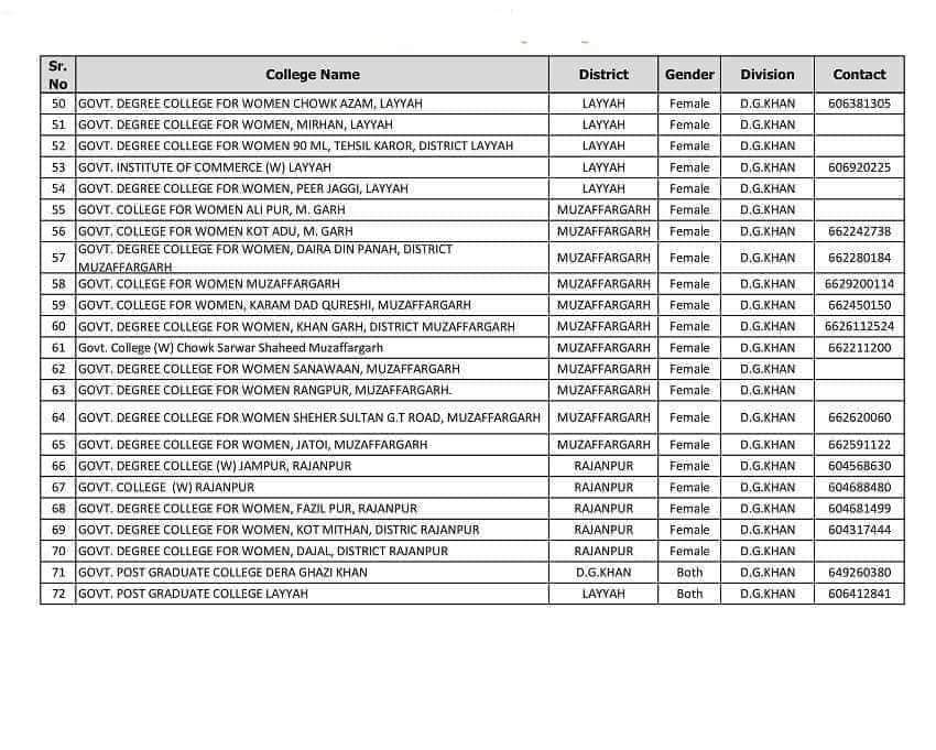
List of Colleges with their Contacts for CTIs Jobs 2021
This is a sample list, I have selected two colleges from each district. The candidates can get the full list of all colleges as I have shared below in the picture form.
| Sr.no. | College Name | District | Gender | Contract |
| 1. | Govt. Post Graduate College of Science Faisalabad | Faisalabad | Male | 419330698 |
| 2. | Govt. Municipal Degree College, Jaranwala Road, Faisalabad | Faisalabad | Male | 419220283 |
| 3. | Govt. Post Graduate College, Jhang | Jhang | Male | 479200162 |
| 4. | Govt. Degree College (Boys), 170/J.B | Jhang | Male | |
| 5. | Govt. Post Graduate College, Gojra | T.T Singh | Male | 469200067 |
| 6. | Govt. College of Commerce, Gojra | T.T Singh | Male | 463512872 |
| 7. | Govt. Islamia Post Graduate College, Chiniot | Chiniot | Male | 476332001 |
| 8. | Govt. Post Graduate Talim-ul-Islam College, Chenab Nagar | Chiniot | Male | 476213937 |
| 9. | Govt. College of Home Economics Gulberg, Lahore | Lahore | Female | 4299263326 |
| 10. | Govt. College for Woman Baghban Pura Lahore | Lahore | Female | 4236552597 |
| 11. | Govt. G.N. Degree College (W) Nankana Sahib | Nankana Sahib | Female | 5692330174 |
| 12. | Govt. Degree College for Woman Warburton, Nanka Sahib | Nankana Sahib | Female | 562794488 |
| 13. | Govt. Post Graduate College Bahawalnagar | Bahawalnagar | Male | 639240177 |
| 14. | Govt. Postgraduate College of Commerce, Bahawalnagar | Bahawalnagar | Male | 639240106 |
| 15. | Govt. S.A Postgraduate College Dera Nawab Sahib, Bahawalpur | Bahawalpur | Male | 622272741 |
| 16. | Govt. Degree College Uch Sharif, Bahawalpur | Bahawalpur | Male | 622551300 |
| 17. | Govt. Degree College for Boys, Block-17, D.G Khan | D.G Khan | Male | 642469149 |
| 18. | Govt. Degree College for Boys Choti Zairin, D.G Khan | D.G Khan | Male | 642566144 |
| 19. | Govt. College Choubara, Layyah | Layyah | Male | 606440186 |
| 20. | Govt. Institute of Commerce Choubara, Layyah | Layyah | Male | 606440148 |
| 21. | Govt. Post Graduate College (Boys) Ali Pur, M.Garh | Muzaffargarh | Male | 662552801 |
| 22. | Govt. Commerce College Ali, Pur | Muzaffargarh | Male | 662700916 |
| 23. | Govt. Post Graduate college Rajanpur | Rajanpur | Male | 604688565 |
| 24. | Govt. Post Graduate College Jampur, Rajanpur | Rajanpur | Male | 604567339 |
| 25. | Govt. College for Woman, Chunian, Kasur | Kasur | Female | 494311934 |
| 26. | Govt. Chando Begum Degree College for Woman, Khanganpur, Chunian | Kasur | Female | 424820777 |
| 27. | Govt. Post Graduate College (Boys) Sheikupura | Sheikupura | Both | 563783032 |
| 28. | Govt. Degree College for Woman, Ferozewala, Sheikupura | Sheikupura | Female | 4237960198 |
| 29. | Govt. Degree College (Boys) Qila Didar Singh, Gujranwala | Gujranwala | Male | 554711151 |
| 30. | Govt, Post Graduate Islamia College Gujranwala | Gujranwala | Male | 554226300 |
| 31. | Govt. A.H. Islamia Degree College Jalalpur Jattan, Gujrat | Gujrat | Male | 533592356 |
| 32. | Govt. Inter College Karianwala, Gujrat | Gujrat | Male | 533588733 |
| 33. | Govt. Degree College for Boys, Daska, Sialkot | Sialkot | Male | 529200042 |
| 34. | Govt. Islamia Inter College Mitranwal, Tehsil Daska, Sialkot | Sialkot | Male | 55620227 |
| 35. | Govt. Islamia Degree College Baddomalhi (Narowal) | Narowal | Male | |
| 36. | Govt. Degree College Zafrawal Narowal | Narowal | Male | |
| 37. | Govt. Degree College (Boys) Pindi Bhattian Hafizabad | Hafizabad | Male | 547531707 |
| 38. | Govt. College Hafizabad | Hafizabad | Male | 547521033 |
| 39. | Govt. College for Woman Malakwal, M.B. DIN | MandiBahuddin | Female | 546591808 |
| 40. | Govt. Nawaz Sharif Girls Degree College, District MandiBahuddin | MandiBahuddin | Female | 546000000 |
| 41. | Govt. College for Woman Kahn Pur | Rahimyar Khan | Female | 685571590 |
| 42. | Govt. College for Woman Liaquat Pur, RY Khan | Rahimyar Khan | Female | 685795930 |
All Colleges in Punjab Contact Numbers











