Last Updated on October 31, 2021 by
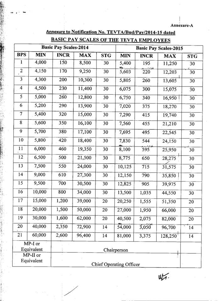
Government of the Punjab, Technical Education & Vocational Training Authority (TEVTA) Finance Wing has issued Notification No. TEVTA/Bud/Pay/2015-16 dated 18-08-2015 in connection with Notification of Revision of Basic Pay Scales 2015 for TEVTA Employees. The summary of the same is as under:
Revision of Basic Pay Scales 2015 TEVTA
The Basic Pay Scales 2015 shall replace the Basic Pay Scales 2014 with effect from 01-07-2015.
Adhoc Relief Allowance 2011 & 2012
Adhoc Relief Allowance 2011 & 2012 have been merged into basic pay.
Adhoc Relief Allowance 2010, 2013 & 2014
Adhoc Relief Allowance 2010 is already frozen and Adhoc Relief Allowance 2013 & 2014 will also stand frozen at the rates admissible as on 30-06-2015.
Adhoc Relief Allowance 2015
There will be an Adhoc Relief Allowance 2015 that will be admissible 7.5% of the running basic pay of the pay scales 2015.
Medical Allowance
Medical Allowance for the employees of BPS-01 to 15 shall be now Rs. 1500/- per month. And there is increase of 25% in the running medical allowance for the employees of BPS-16 and above. In no case medical allowance will be less than 1500/-
Special thanks to Mr. Khalid Hameed for sending the copy of the Notification of Revision of Basic Pay Scales 2015 for TEVTA Employees.





Pleas mam send me the notification of technical degree alownce of panjab Tevta
mjy sandu sangar balakot kpk ky class 4 ki pay slip cheyea
jis ka Name sajjad Ahmad s/o Alafdeen aur personal no 391748 hai
id # 1350137894863 plz send me
mjy sandu sanger balakot kpk ky class 4 ki pay slip cheyea plz send me ?
Assalam u Alikum
Madam
mujy TEVTA me PS-14 ki job mili hy to meri Pay kitni ho gi aur TEVTA me kon kon say allowances hoty hay?
Dear Ali Sardar I m not confirm about the detail of the allowances of TEVTA.
Pay of Tevta new Appoint employer…..?
mujhy bs.3 1.7.14 se mila h 30.6.14 ko mery b.pay 9660 the1.7.14 ko bs.3 ma 9850 ho gai meri 1.12.14 ki increment lagy gi ya ni
Dear habib shah u can get the annual increment if you use the option.
Madam, two step up gradation BPS-01 to BPS-05 of KPK Govt employees,
With out option
30-06-2015 RS. 8300/-pm BPS-02
1-7-2015 RS. 10735/-PM BPS-02 (Revised pay scale 2015)
1-7-2015 RS, 10930/- Two step up gradation BPS-02 to BPS-04
1-7-2015 RS, 11230/- One Pre mature increment
With Option
30-06-2015 RS. 8300/-pm BPS-02
1-7-2015 RS. 10735/-pm BPS-02 (Revision of scale 2015)
1-12-2015 RS, 10955/-pm (annual increment
2-12-2015 RS, 11230/-pm Scale up graded BPS-02 to BPS-04)
02-12-2015 RS, 11530/-pm One pre mature increment
madam, Kia ye pay fixation correct hai. please reply me.
Dear Muhammad Ishfaq plz email me all these details.