Last Updated on October 31, 2021 by
The Executive District Officer (Education) District Toba Tek Singh has issued various letters on 21st August 2014 for the Recent Re-Allocation of Teaching Posts in T.T Singh. These orders will replace/substitute all the previous orders issued. The detail of the same is as under:
Re-Allocation of Teaching Posts in Tehsil Kamalia
In Tehsil Kamalia re-allocation of the following teaching staff has been made.
- Secondary School Teachers (SST) Male Tehsil Kamalia vide No. 5397/E-I dated 21-08-2014
- Elementary School Teachers (EST) Male Tehsil Kamalia vide No. 5403/E-I dated 21-08-2014
- Primary School Teachers (PST) Male Tehsil Kamalia vide No. 5409/E-I dated 21-08-2014
Re-Allocation of Teaching Posts in Tehsil Gojra
In Tehsil Gojra re-allocation of the following teaching staff has been made.
- Secondary School Teachers (SST) Male Tehsil Gojra vide No. 5395/E-I dated 21-08-2014
- Elementary School Teachers (EST) Male Tehsil Gojra vide No. 5401/E-I dated 21-08-2014
- Primary School Teachers (PST) Male Tehsil Gojra vide No. 5407/E-I dated 21-08-2014
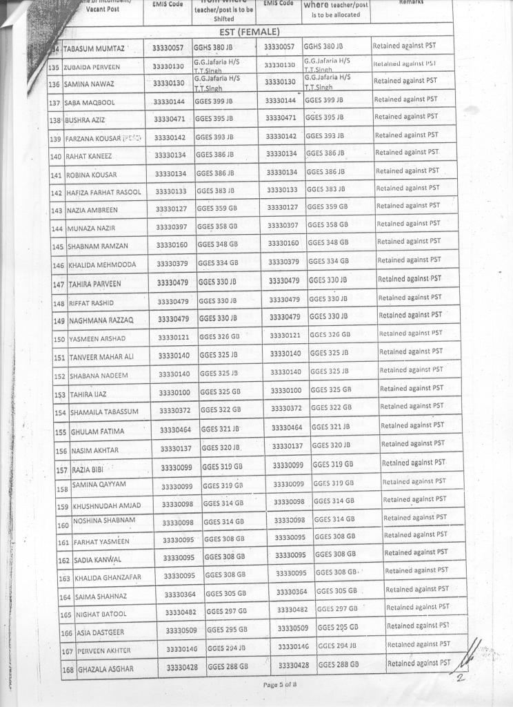
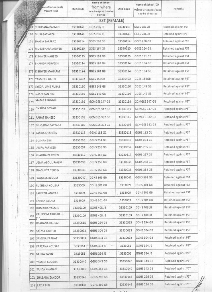
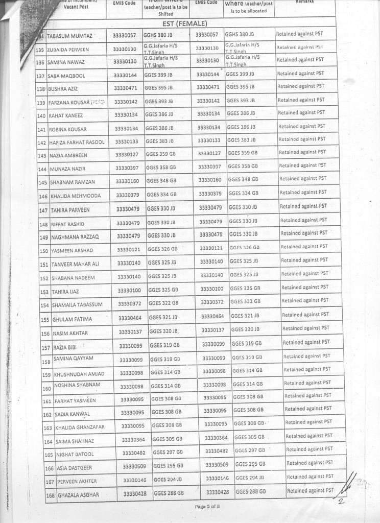
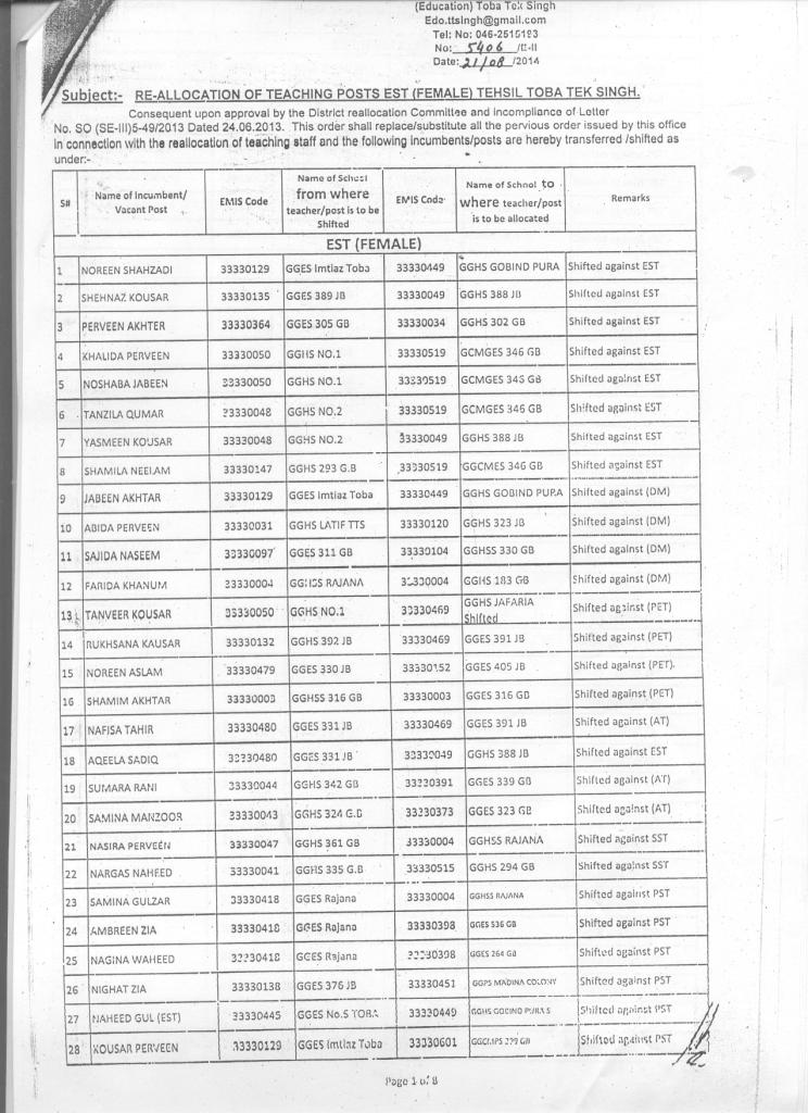
Re-Allocation of Teaching Posts in Tehsil Toba Tek Singh
In Tehsil Toba Tek Singh re-allocation of the following teaching staff has been made.
- Secondary School Teachers (SST) Female Tehsil Toba Tek Singh vide No. 5399/E-I dated 21-08-2014
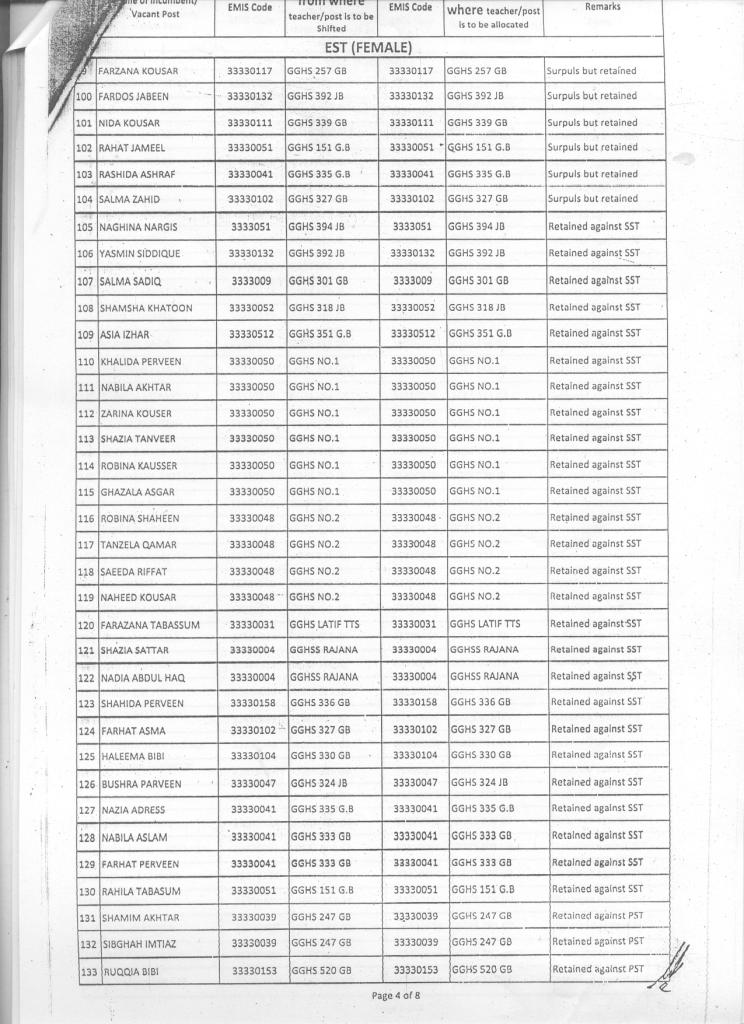
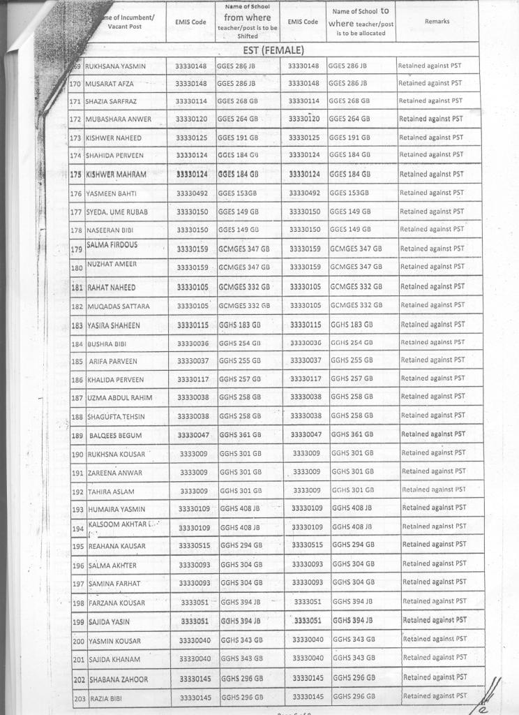
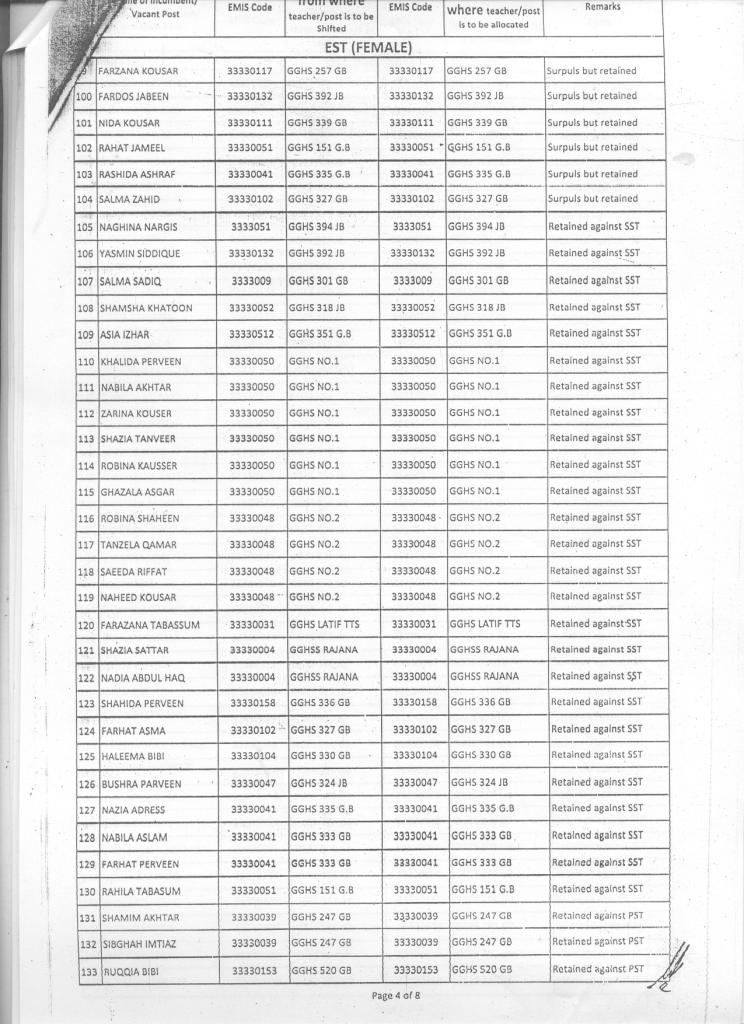
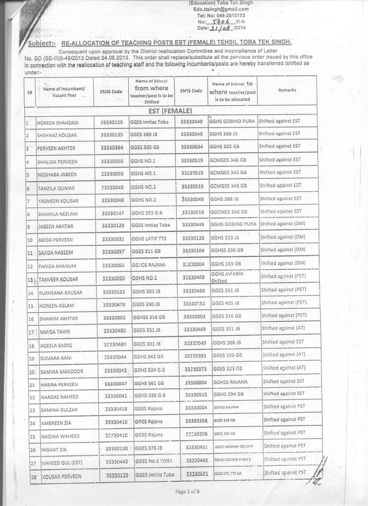
- Elementary School Teachers (EST) Female Tehsil Toba Tek Singh vide No. 5406/E-I dated 21-08-2014
- Primary School Teachers (PST) Female Tehsil Toba Tek Singh vide No. 5411/E-I dated 21-08-2014
Female List Tehsil Gojra
Male List Tehsil T.T Singh
Female List Tehsil Kamalia
Special Thanks to CH JAMIL AHMAD KHANÂ
DISTRICT GENERAL SECRETARY
PUNJAB TEACHERS UNION
DISTRICT TOBA TEK SINGH
























































Aoa Madam
I visited the attached letters in respect of reallocation of staff in district toba tek Singh.I want to ask that did LHC issued any stay order against reallocation policy.
Dear Yasar, I have only read the news about it that the orders have been issued against this policy.
AOA. madam ap k iss page se boht si maloomat milti hain thanks for this. ap se eik maloomat leni hai k agar education dept. (ESE-sci-math) se koi resign de day yeni one month pay jama krwa ker resign diya ho (6 month before) aur office se pata krwaya hai tu unho ne kaha hai k ap ka abi resign accept ho ker DEO office se nai aya hai yeni abhi accept nai hua hai ab woh wapis apni seat per jana chahe tu kya koi tariqa hai apni job per wapis janay ka. plz iss baray agar ap k pass koi information ho tu bataiya ga thanks
Dear Saeed, I think u cannot join now. But u cantry to contact the DEO Office, if they don,t accept the same.