Last Updated on March 22, 2026 by Galaxy World
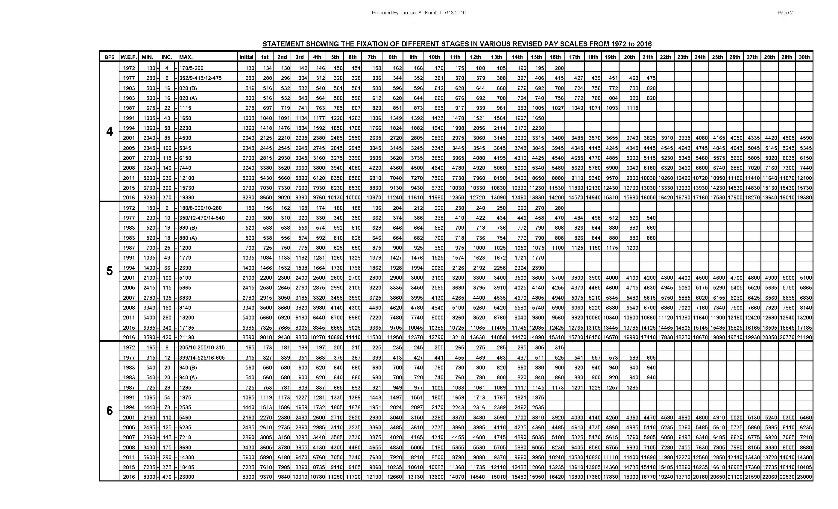
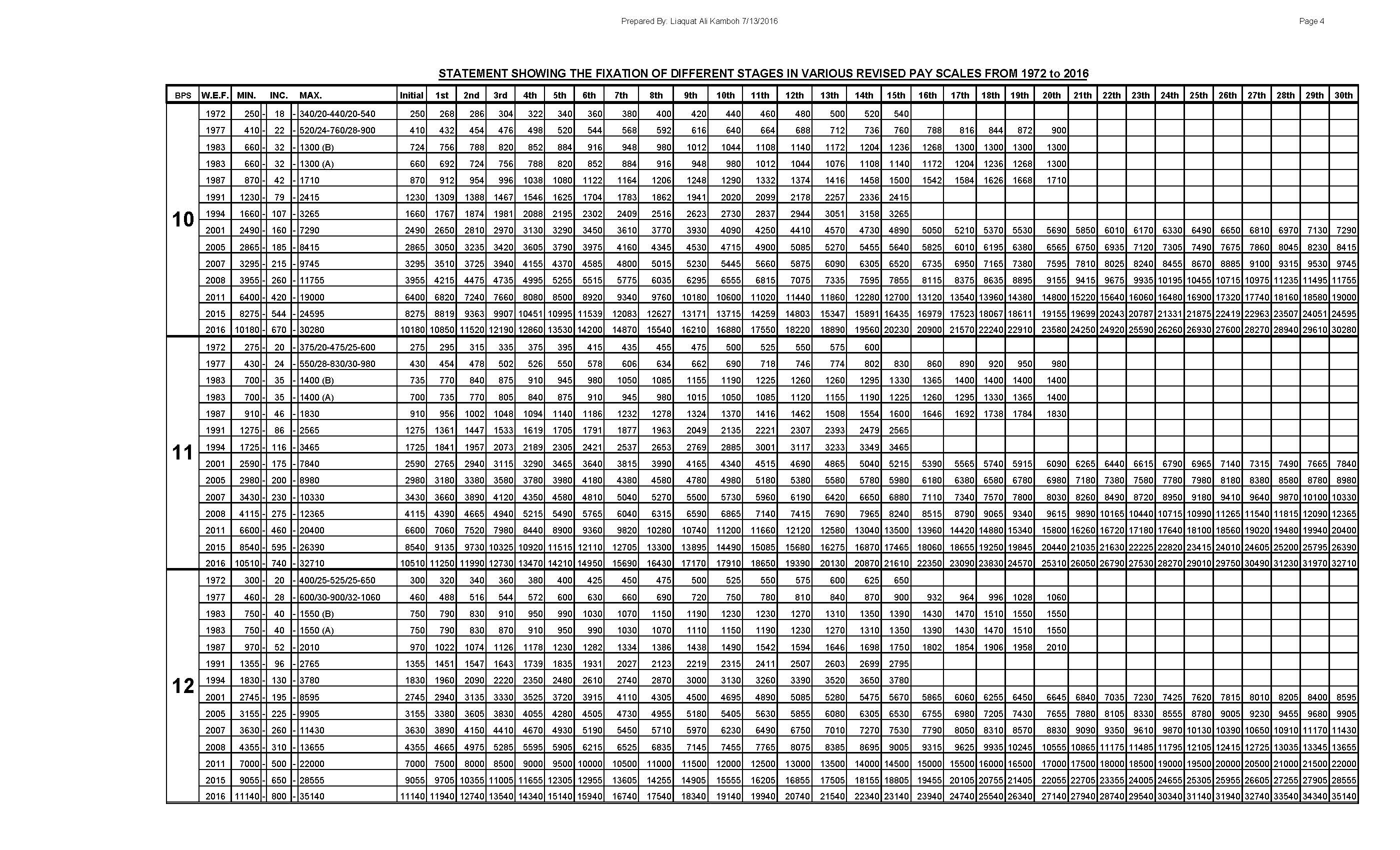
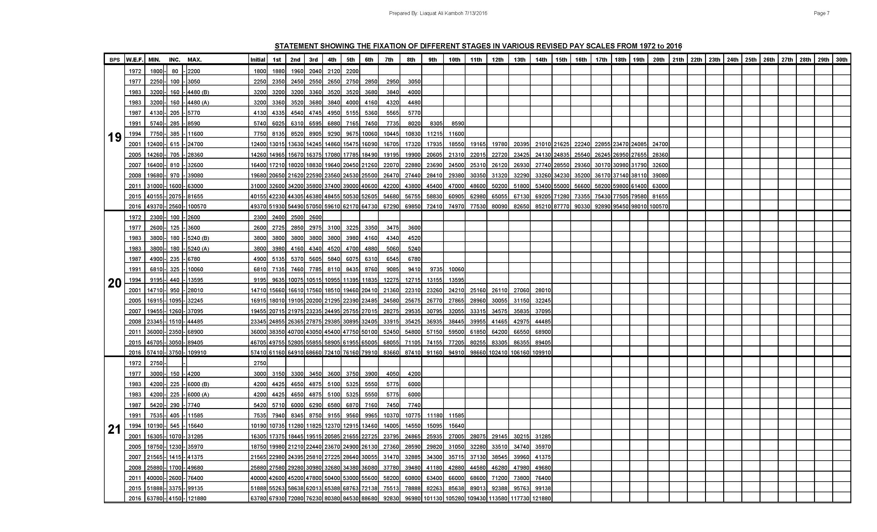
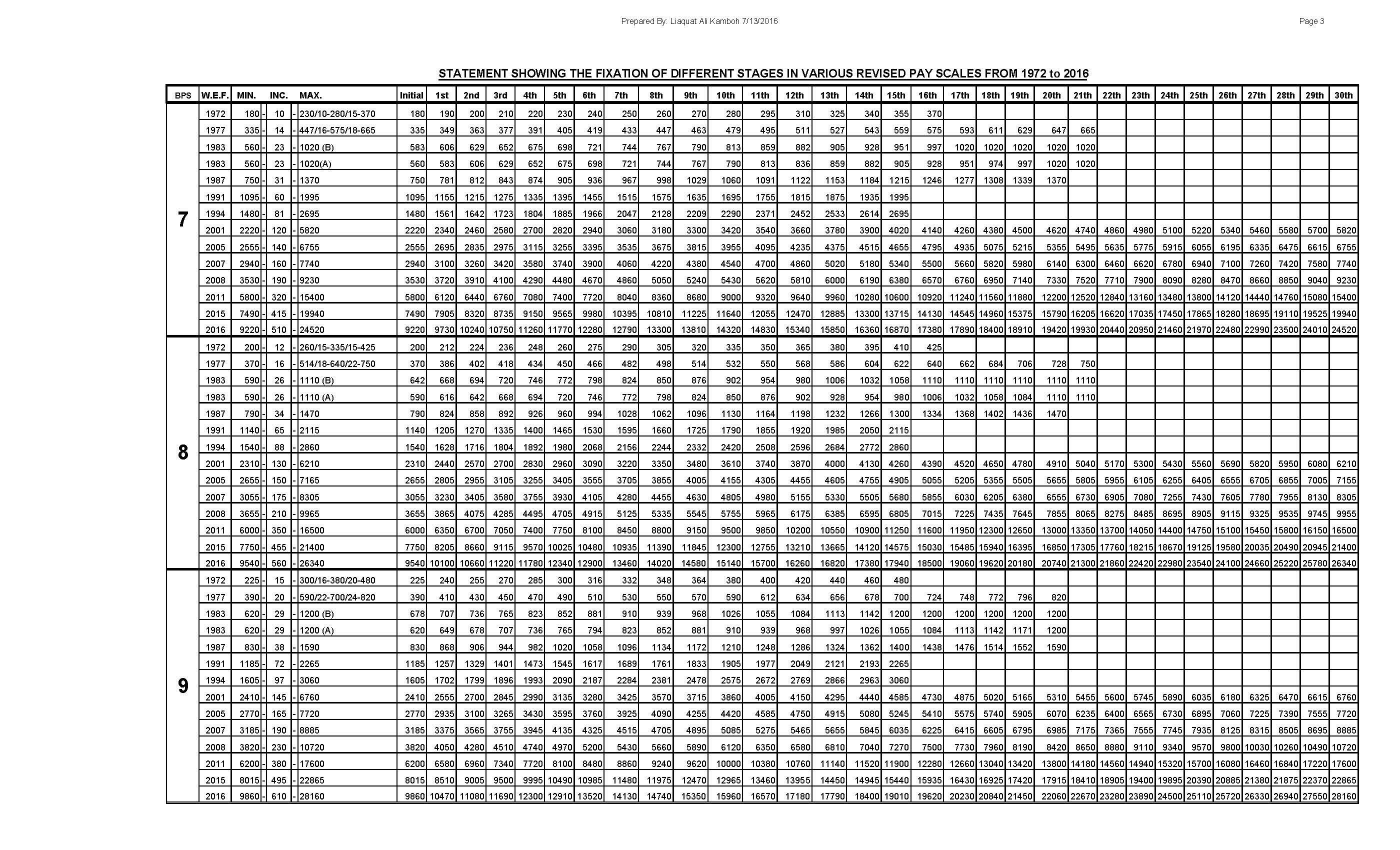
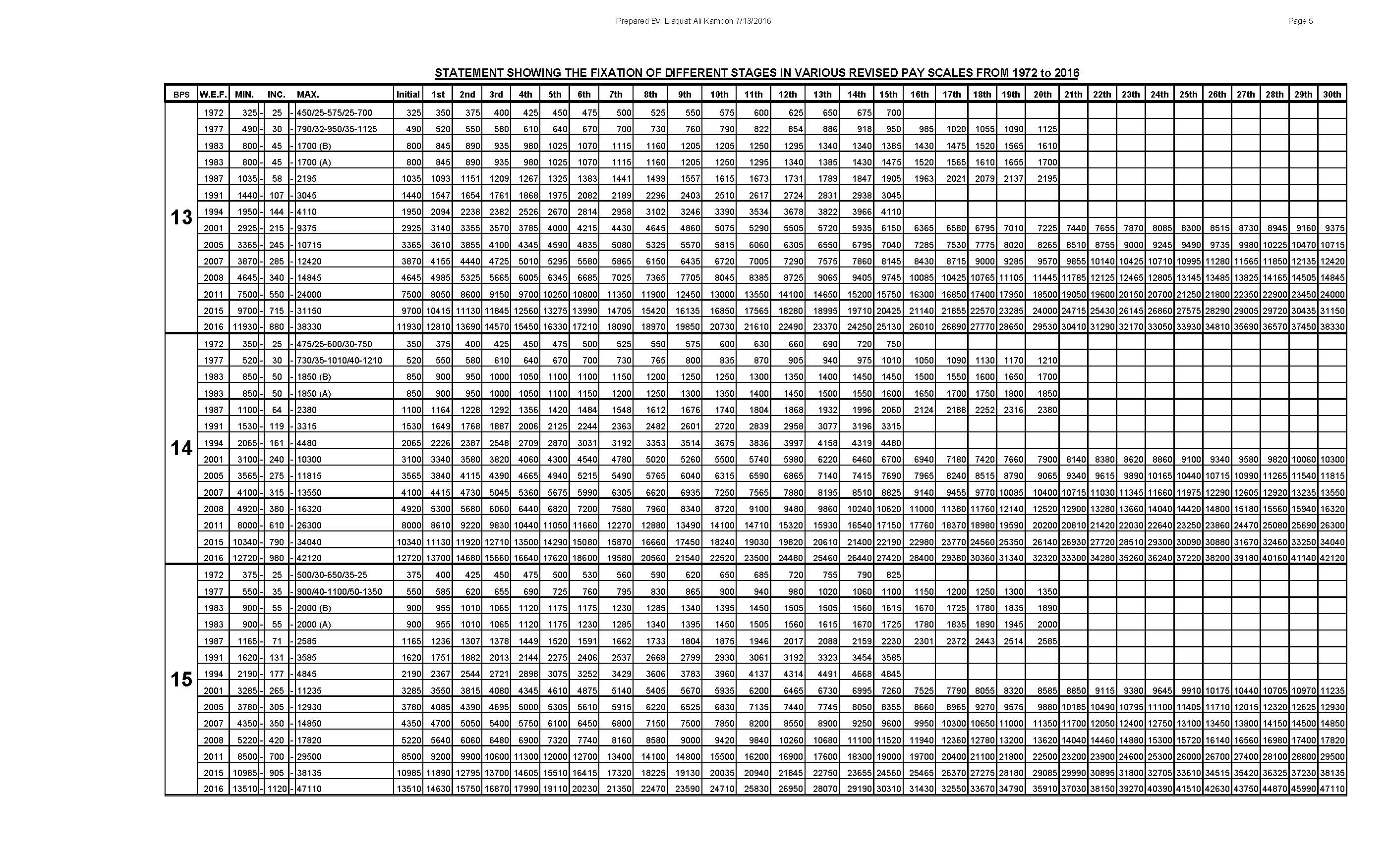
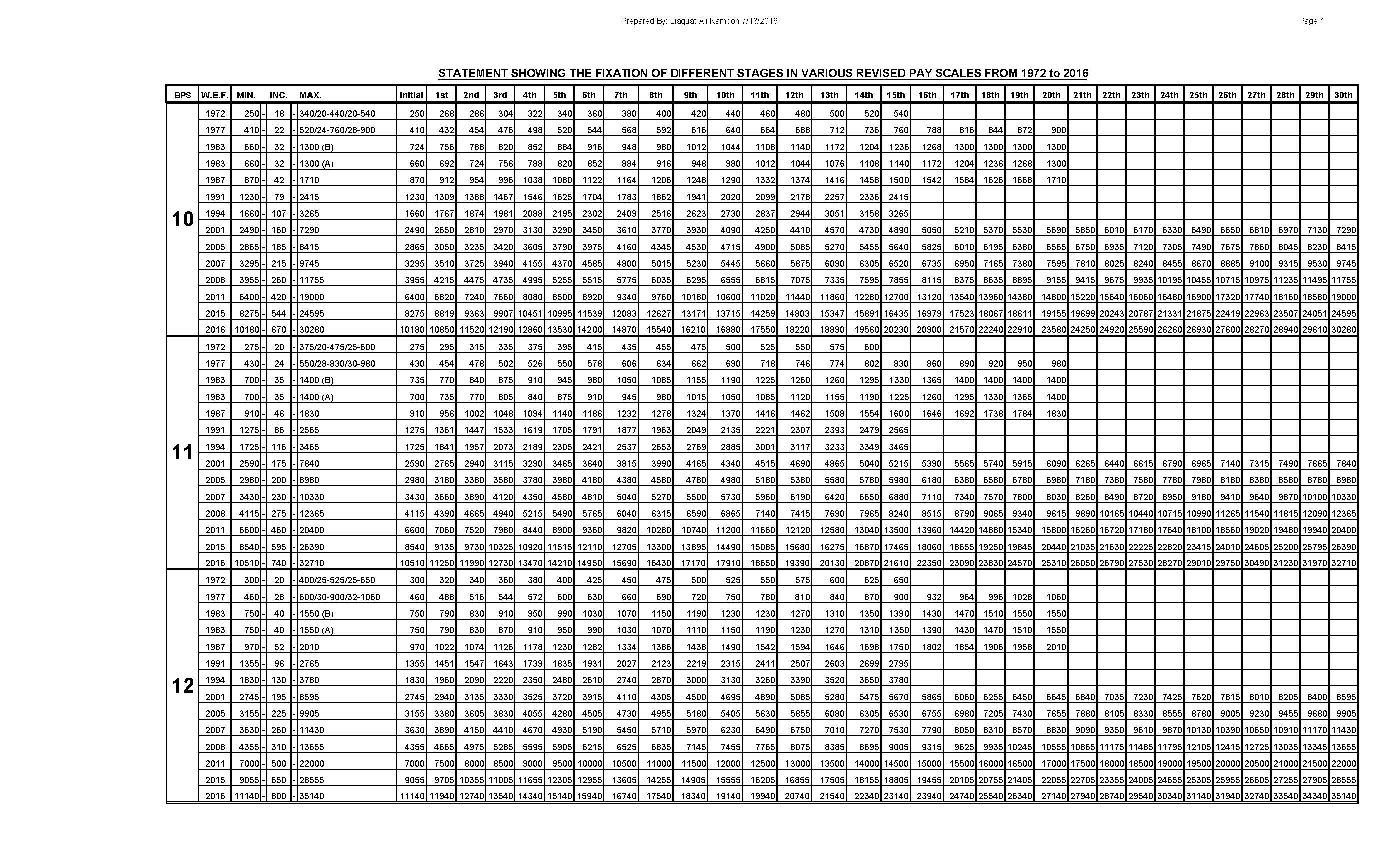
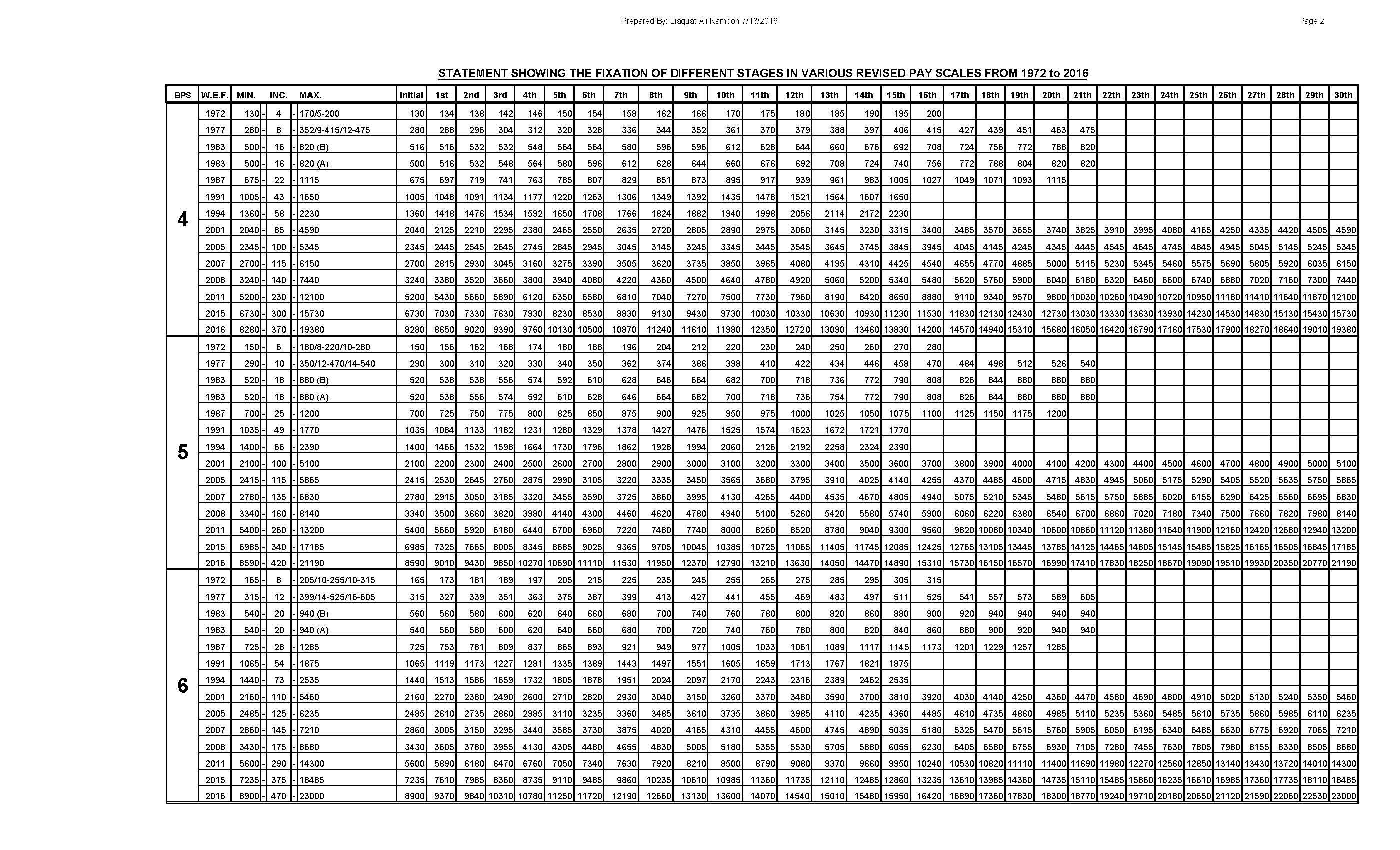
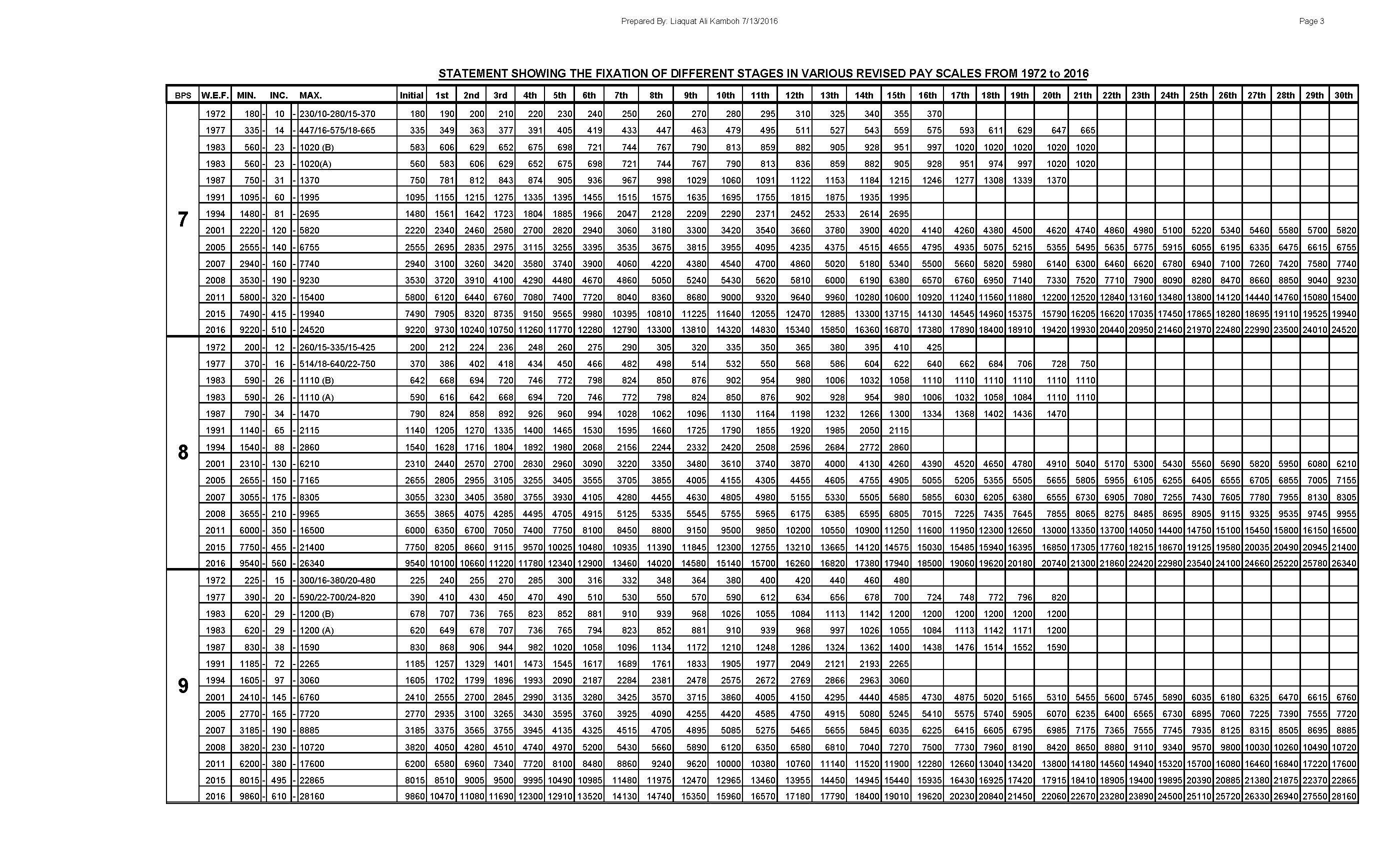
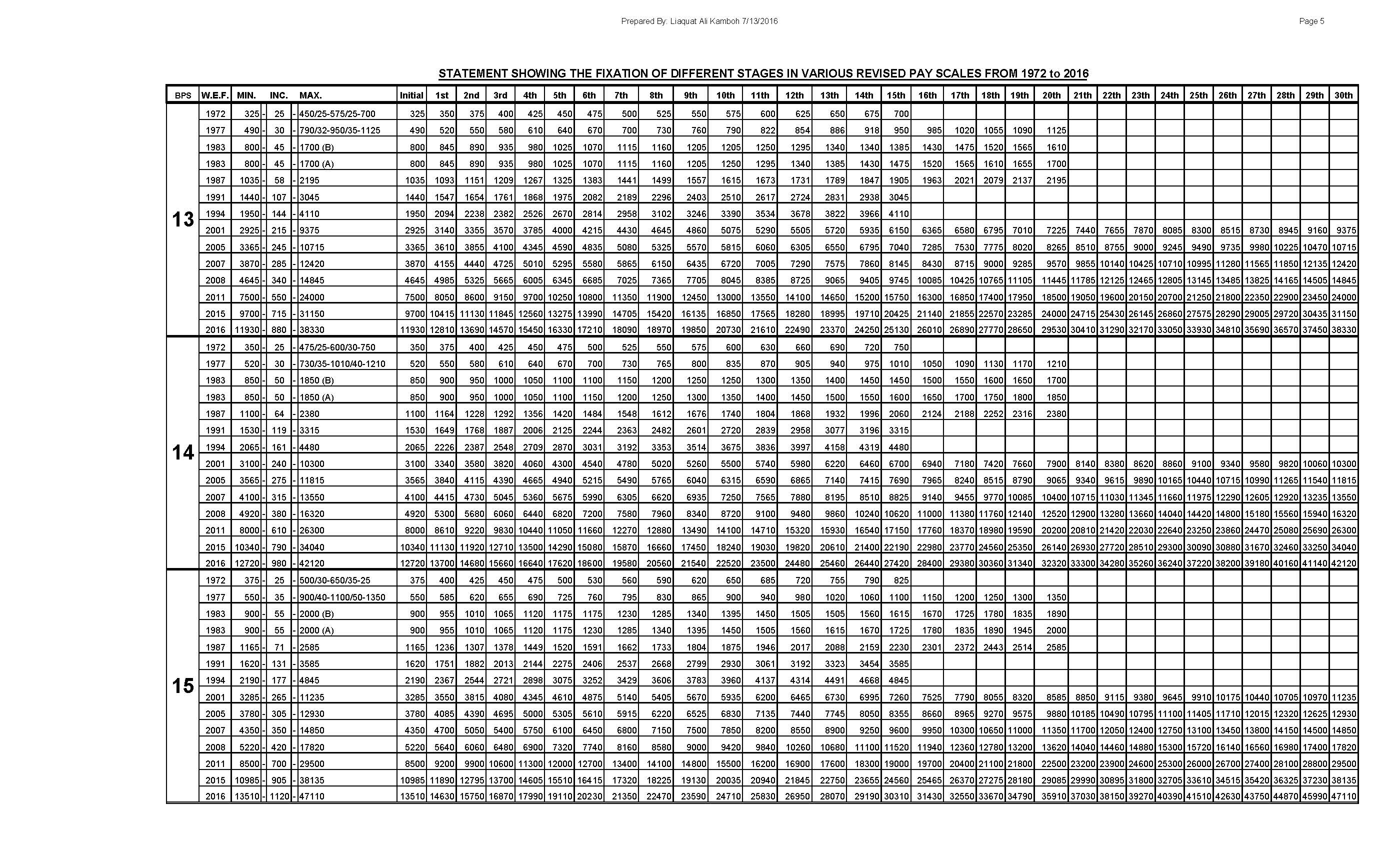
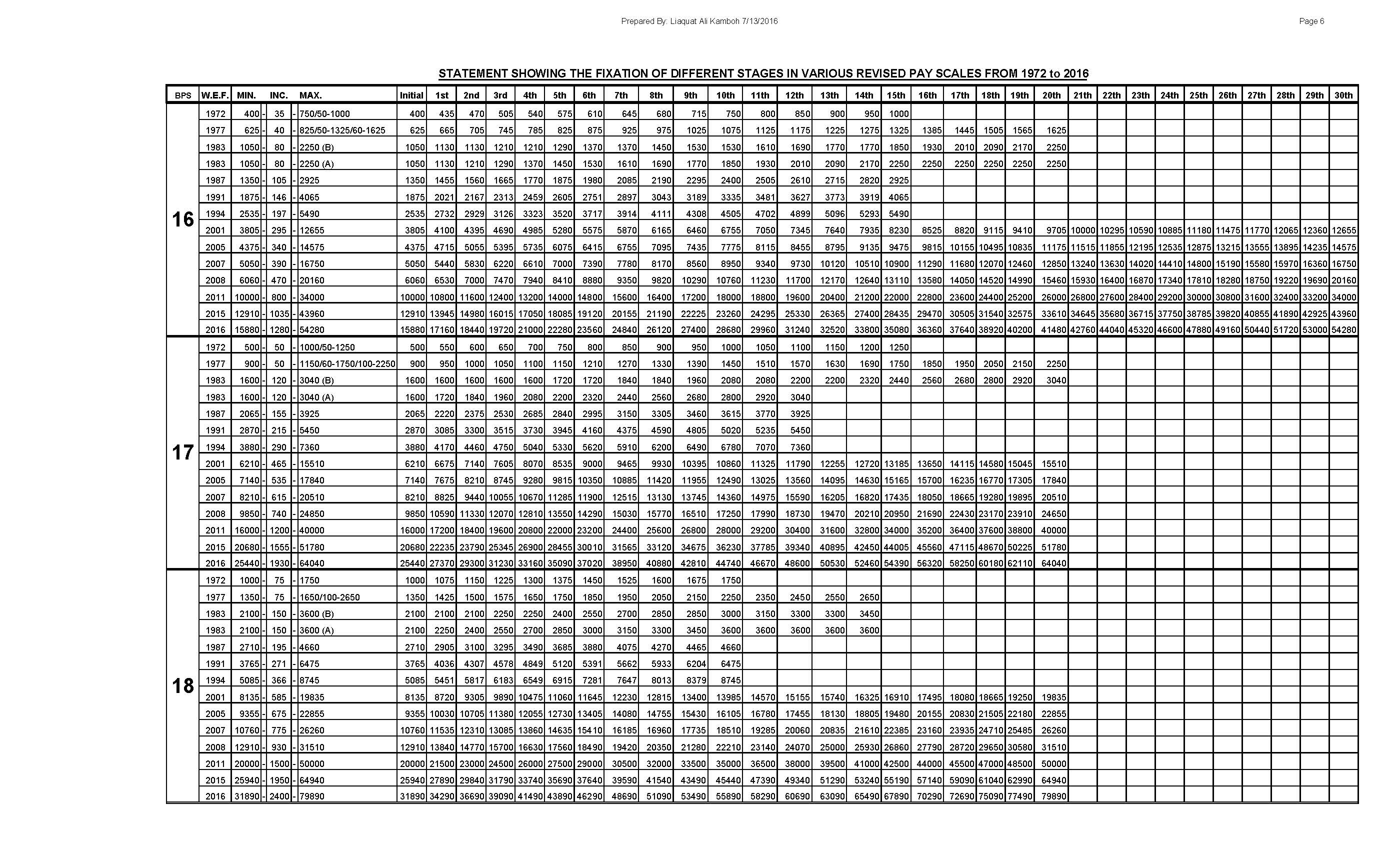
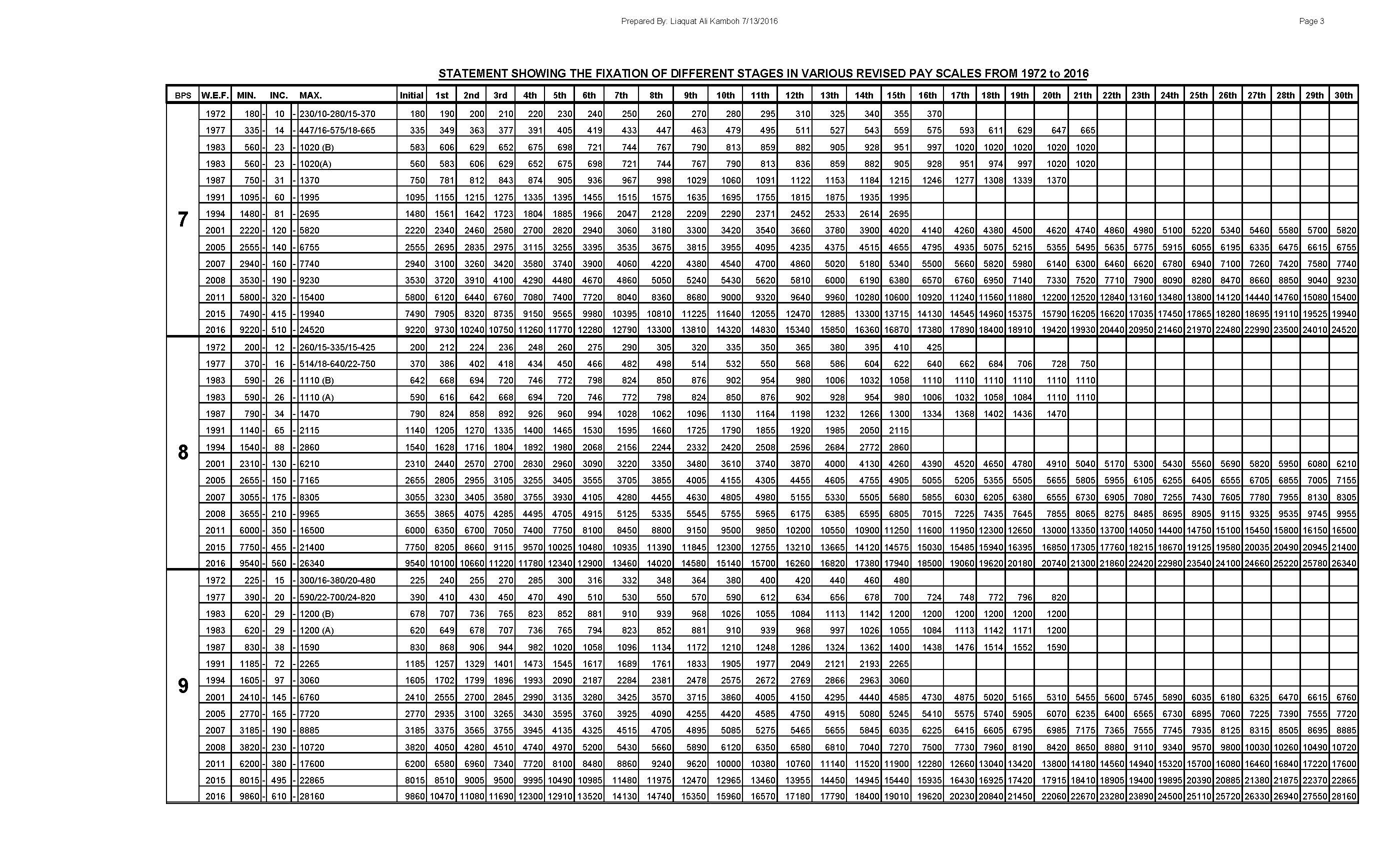
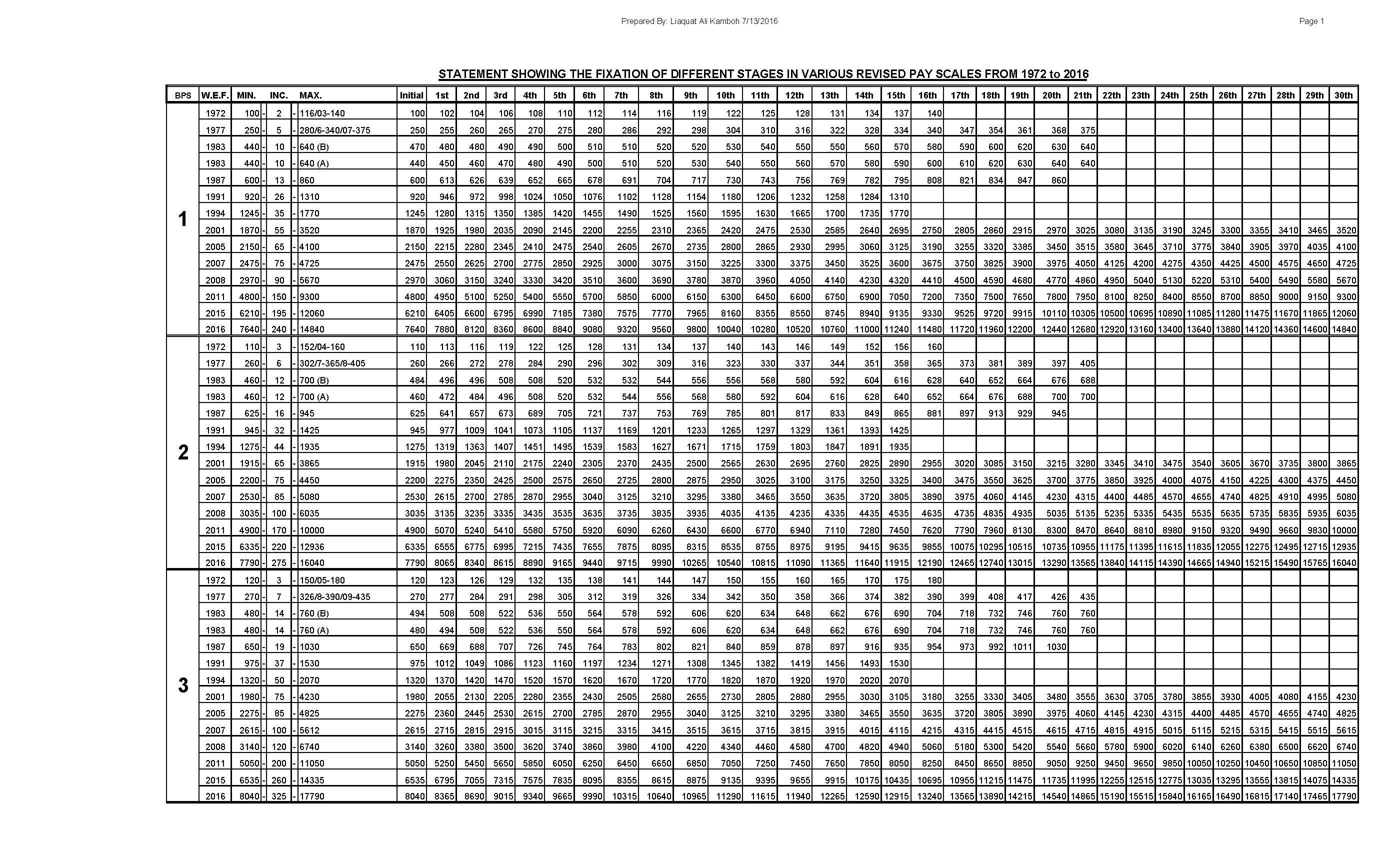
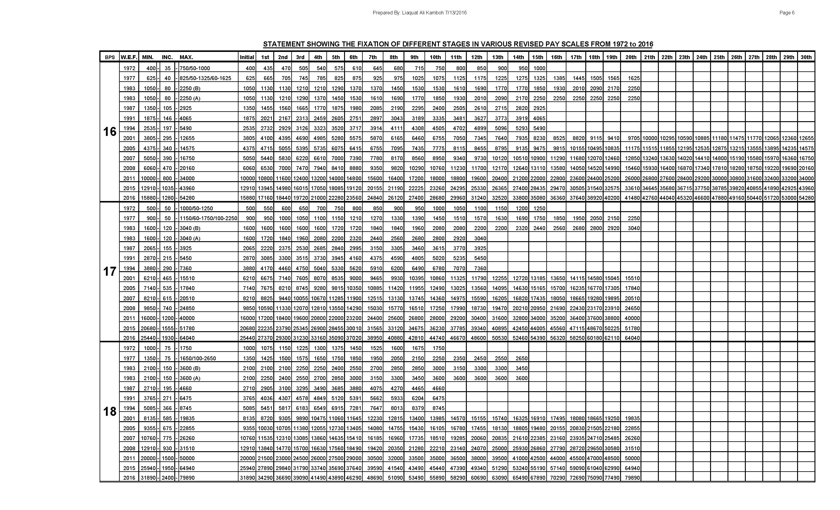
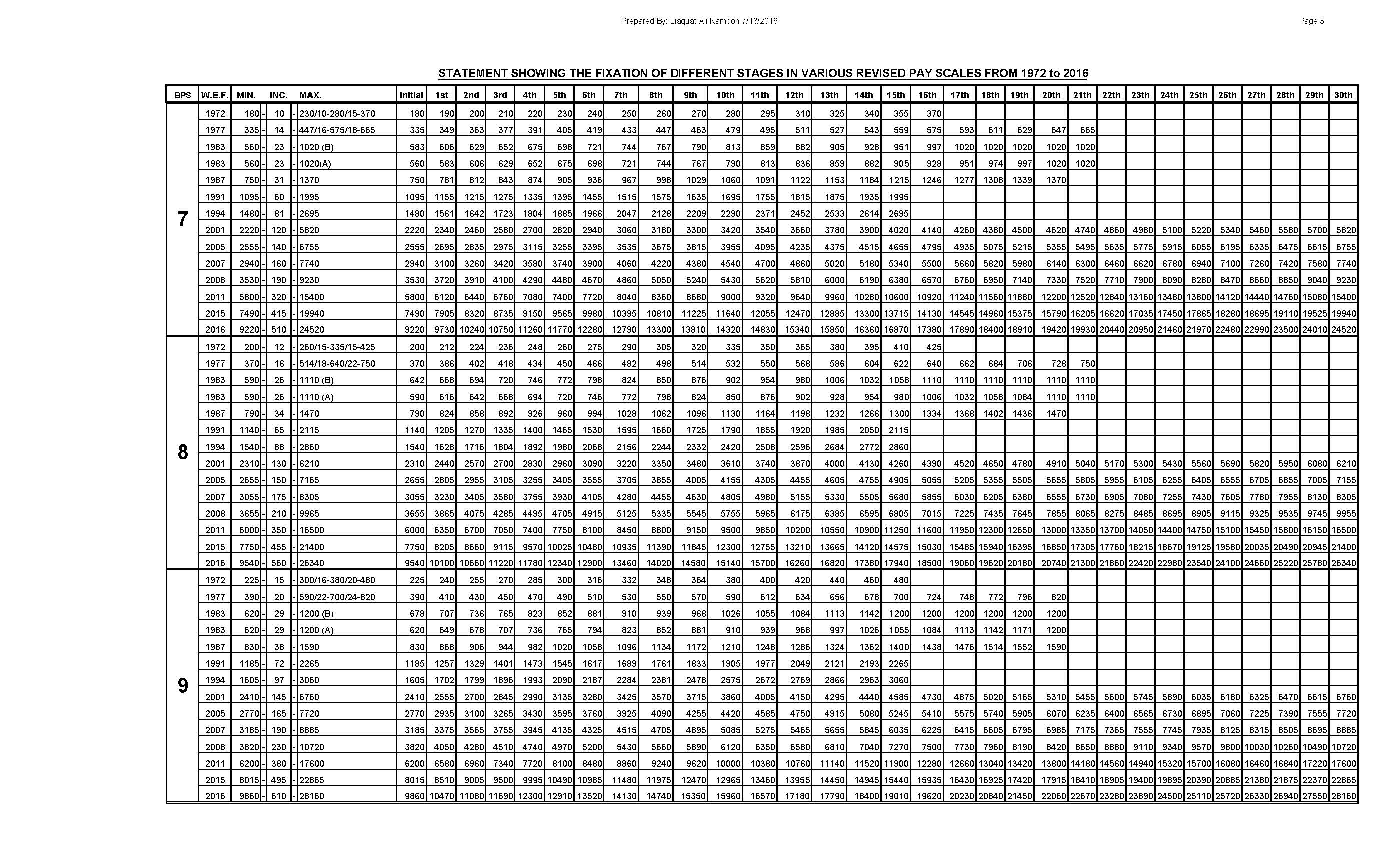
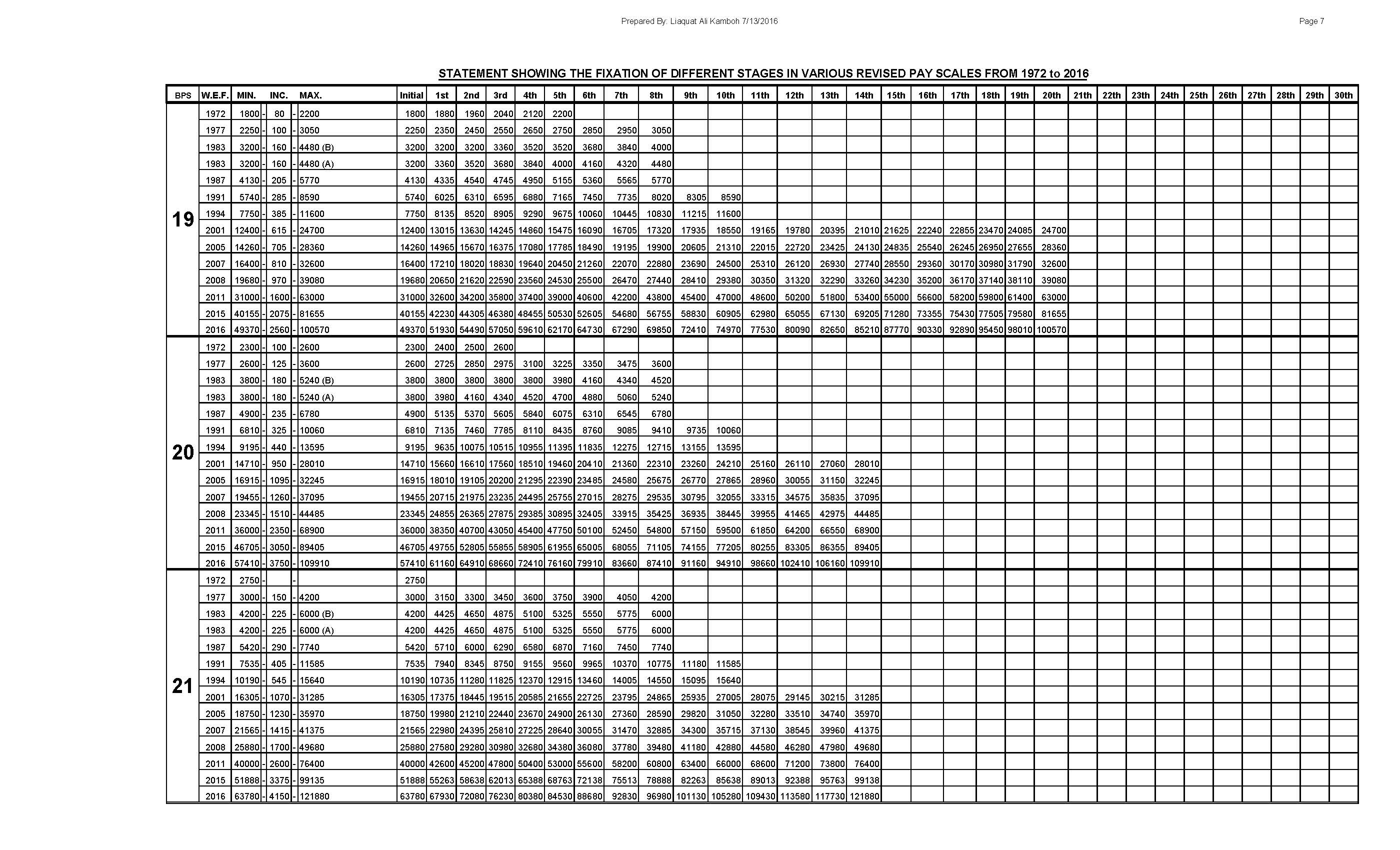
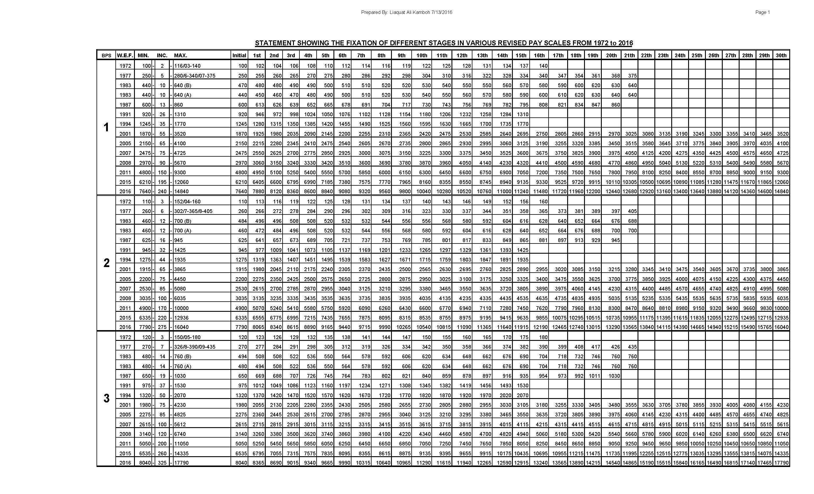
Many visitors of Galaxy World have sent the Combined Pay Scale Charts 1972 to 2016. I am uploading these charts for the info of the other employees. These combined charts are helpful for the employees in many ways. Some characteristics of these charts are as under:
- These charts are helpful in fixing the pay from back date.
- All the charts are available in one sheet for certain pay scale.
- You no need to have many charts, this one is enough for multipurpose.
- These charts are available in following formats:
- MS Excel Sheets
- In the Picture Form
- In PDF Format
The following employees must be thanked for helping the employees in preparing these charts:
- Mr. Liaquat Ali Kamboh
- Mr. Faisal Butt
- Mr. Nazar Khan
Combined Pay Scale Charts 1972 to 2016 by Liaquat Ali Kamboh in MS Excel Sheet
Combined Pay Scale Charts 1972 to 2016 by NAZAR KHAN
Combined Pay Scale Charts 1972 to 2016by Faisal Butt
Pay Scale Year 2015 & 2016
Combined Pay Scale Charts 1972 to 2016 by Liaquat Ali Kamboh
Pay Scale Year 2015 & 2016










liaquat ali Kamboh sir plz add 1972-2017 fixation chart…
Dear Attiq you can find the same chart from here: http://www.glxspace.com/2017/07/08/download-complete-revised-pay-scale-chart-1972-2017/
I downloaded the fixation chart of Mr. Liaquat Ali Kamboh, which is excellent. Thanks.
very nice please sent me
it conform 3 adch will be merge
Very nice work
Bps(16) stage(11) All chart is right then i lose my orignal basic pay……. Basic(24295)(2014adhoc relief..1800)(Adhoc allowance2013..2700)Adhoc relief 2015..1822) If every Adhoc is merge in to Basic then my Basic is go on to(30980) and all chart show my the 11 stage in bps16 is (29960) and i lose my orignak pay (1020) why?????????????????? it is not good working
Good working by Mr. Liaquat Ali Kamboh
THANKS
I need Finance Division O.M No. 1(13)/Reg-6/83 dated 23.10.1983, kindly mail me on urgent basis. as i have to need this for a case please.
Dear Abdul Waheed Khan Niazi, I think you can find the same in ESTA CODE.